英文名稱(chēng):Poly(ethylene glycol) methyl ether acrylate
分子式:CHCo2(CH2CH2O)NCH3
分子量:1K,2K,5K,10k,20k
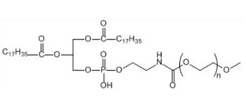
英文名稱(chēng):M-PEG-DSPE
分子式:C44H88NO9P(C2H4O)N
分子量:1K,2K,5K,10k,20k
英文名稱(chēng):Methoxypoly(ethylene glycol) propionaldehyde
分子式:
分子量:1K,2K,5K,10k,20k
英文名稱(chēng):Polyethylene glycol monomethyl ether p-toluenesulfonate
分子式:
分子量:1K,2K,5K,10k,20k